| Συνδεθείτε στην Υπηρεσία Νομοσκόπιο | | | | | Νέοι χρήστες | | Εάν είστε νέος χρήστης, θα πρέπει να δημιουργήσετε ένα ΔΩΡΕΑΝ λογαριασμό προκειμένου να φύγει το παράθυρο αυτό και να αποκτήσετε πλήρη πρόσβαση στην υπηρεσία Νομοσκόπιο. | | Δημιουργία νέου λογαριασμού | | |
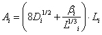
Η ενιαία τιμή προεκτιμώμενης αμοιβής (Α) για την εκπόνηση μελέτης αγωγού εξωτερικού υδραγωγείου ύδρευσης υπολογίζεται συναρτήσει του μήκους του αγωγού και της εσωτερικής διαμέτρου βάσει του τύπου:

όπου:
L: το μήκος του αγωγού σε m
D: η διάμετρος του αγωγού σε m
β: συντελεστής έως εξής:
| o | για αγωγό διαμέτρου ≤ D150 mm β=30 |
| o | για αγωγό διαμέτρου D250 mm β=40 |
| o | για αγωγό διαμέτρου D500 mm β=75 |
| o | για αγωγό διαμέτρου D900 mm β=250 |
| o | για αγωγό διαμέτρου D1200 mm β=400 |
| o | για αγωγό διαμέτρου D1500 mm β=600 |
| o | για αγωγό διαμέτρου ≥ D2000 mm β=800 |
| o | Για ενδιάμεσες τιμές διαμέτρων ο συντελεστής β υπολογίζεται με γραμμική παρεμβολή |
Σε περίπτωση πολλαπλών αγωγών ιδίας διαμέτρου η αμοιβή υπολογίζεται ως ανωτέρω για έναν αγωγό και προσαυξάνεται κατά 30% για κάθε επιπλέον αγωγό.
Προκειμένου για αγωγό με επιμέρους τμήματα διαφορετικών διαμέτρων:

όπου:

Εφόσον τμήμα του αγωγού διέρχεται υψομετρικά κάτω από τη στάθμη υπόγειου υδροφορέα τότε η αμοιβή Α προσαυξάνεται κατά (3000+0,20 x L) x τK, όπου L το συνολικό μήκος του υπόψη αγωγού σε m, για την κάλυψη των απαραίτητων μελετών αντιστήριξης, έλεγχο υδάτων κ.λ.π.