| Συνδεθείτε στην Υπηρεσία Νομοσκόπιο | | | | | Νέοι χρήστες | | Εάν είστε νέος χρήστης, θα πρέπει να δημιουργήσετε ένα ΔΩΡΕΑΝ λογαριασμό προκειμένου να φύγει το παράθυρο αυτό και να αποκτήσετε πλήρη πρόσβαση στην υπηρεσία Νομοσκόπιο. | | Δημιουργία νέου λογαριασμού | | |
1. Περιοχή ισχύος
Το παρόν κεφάλαιο αναφέρεται στη μελέτη και κατασκευή έργων των οποίων η λειτουργία βασίζεται στη μέθοδο και θεωρία της οπλισμένης επίχωσης και τα οποία έχουν τη δυνατότητα να δρουν ως έργα αντιστήριξης ή και να φέρουν επ' αυτών σημαντικά φορτία. Οι κατασκευές μπορεί να βρίσκονται και μέσα στο νερό.
Σαν τέτοια έργα αναφέρονται, ενδεικτικά, τοίχοι αντιστήριξης διαφόρων χρήσεων κ.λ.π., και κυρίως οι τοίχοι οπλισμένης (με ελάσματα ή ράβδους οπλισμού) γης και (σε ορισμένες περιπτώσεις) οι οπλισμένες με γεωπλέγματα επιχώσεις, εφόσον η αντιστηρίζουσα επιφάνειά τους δεν έχει απόκλιση από την κατακόρυφη μεγαλύτερη από 20°. Ο σχεδιασμός και η διαστασιολόγηση τυχόν κατασκευών με γεωκυψέλες / φατνώματα, γεωυφάσματα ή ενισχυμένα επιχώματα κ.α., δεν καλύπτεται από τις παρούσες διατάξεις και θα αντιμετωπίζεται κατά περίπτωση η οποία προϋποθέτει σχετική αποδοχή της Υπηρεσίας.
Σκοπός της παρούσας είναι η παροχή οδηγιών μέσα στα πλαίσια των οποίων θα γίνεται η διαστασιολόγηση και η κατασκευή των έργων αυτών και οι οποίες έχουν προκύψει με βάση επιστημονική ανάλυση, πειράματα και την εμπειρία από την κατασκευή πολυαρίθμων τέτοιων έργων στο εξωτερικό.
Σύμφωνα με την προδιαγραφή αυτή γίνονται αποδεκτές κατασκευές με υλικά επίχωσης κυρίως κοκκώδη, οπλισμό από χαλύβδινες ταινίες ή πλέγματα ράβδων και πετάσματα (πλάκες) από σκυρόδεμα.
Τα σχετικά με το κατασκευαστικό μέρος των έργων από οπλισμένες επιχώσεις αποτελούν αντικείμενο των προδιαγραφών. Για όσα τυχόν δεν καλύπτει η παρούσα, σε συνδυασμό με τα αναφερόμενα στις προδιαγραφές, θα ισχύουν κανονισμοί και προδιαγραφές άλλων χωρών, σύμφωνα με τις οδηγίες των αρμοδίων Υπηρεσιών του Υπουργείου Περιβάλλοντος, Χωροταξίας και Δημοσίων Έργων και έπειτα από σύμφωνη γνώμη τους.
Σε κάθε περίπτωση η χρήση της οπλισμένης επίχωσης προϋποθέτει πλήρη μελέτη με σχέδια και υπολογισμούς που θα εγκρίνεται αρμοδίως.
Η Υπηρεσία μπορεί να μην εγκρίνει τη χρήση οπλισμένης επίχωσης αν κρίνει ότι εμποδίζονται λειτουργίες του έργου στη διάρκεια της ζωής του.
Ειδικά για τους τοίχους οπλισμένης γης (ή και οπλισμένων επιχώσεων), στην περίπτωση χρήσης ειδικών μεθόδων υπολογισμού - με ή χωρίς τη χρήση λογισμικού, θα πρέπει να τεκμηριώνεται, κατάλληλα και κατά τρόπο αποδεκτό από την Υπηρεσία, η ισοδυναμία των αποτελεσμάτων με τα προκύπτοντα από την εφαρμογή των κανονισμών και των διατάξεων του παρόντος άρθρου.
2. Ορισμοί
Οπλισμένη επίχωση είναι έδαφος με ενσωματωμένο οπλισμό σε στρώσεις (σχήμα 10-1), ο οποίος αναλαμβάνει εφελκυστικές δυνάμεις από αυτό και τις μεταβιβάζει πάλι στο έδαφος.
Οπλισμένο τμήμα είναι το τμήμα του εδάφους που περιέχει τους οπλισμούς. Αυτό έχει ύψος το ύψος των πετασμάτων Η1 και πλάτος το μήκος L του οπλισμού της οπλισμένης επίχωσης (σχήμα 10-2).
Επίχωμα πλήρωσης είναι το επίχωμα που περιβάλλει την όπλιση (σχήμα 10-1).
Οπίσθιο επίχωμα πλήρωσης είναι το επίχωμα πίσω από το οπλισμένο τμήμα και μέχρι την άνω στάθμη του (σχήμα 10-1).
Πέτασμα όψης είναι το κατακόρυφο ή κεκλιμένο τοίχωμα που δημιουργείται από προκατασκευασμένα πετάσματα από σκυρόδεμα μικρού πάχους και αγκυρώνεται πάνω στους οπλισμούς. Το πέτασμα όψης δεν αποτελεί το στοιχείο αντιστήριξης αλλά την επένδυση του (σχήμα 10-1).
Όπλιση είναι τα ελάσματα (strips) ή οι ράβδοι από χάλυβα ή πλέγματα ράβδων που χρησιμεύουν για την παραλαβή των εσωτερικών οριζόντιων δυνάμεων του οπλισμένου τμήματος (σχήμα 10-1).

Σχήμα 10-1.
Γεωμετρικά στοιχεία:
Το σχήμα 10-2 παρουσιάζει διάφορα γεωμετρικά δεδομένα μιας κατασκευής από οπλισμένη επίχωση. Σύμφωνα με το σχήμα αυτό, Η1 είναι το συνολικό ύψος της όψεως που περιλαμβάνει και το βάθος τοποθέτησής της, Η είναι το μηχανικό ύψος που υπεισέρχεται στους υπολογισμούς και L είναι το μήκος του οπλισμού.

Σχήμα 10-2.
Σε μια διατομή η μέτρηση του ύψους θα γίνεται από την κατώτερη στάθμη της όψης. Σαν αφετηρία μέτρησης του βάθους θα λαμβάνεται η στάθμη εκείνη που μια ευθεία που διέρχεται από το κατώτερο άκρο της όψης και ορίζεται όπως στο σχήμα 10-2, τέμνει το υπερκείμενο του οπλισμένου τμήματος του τοίχου πρανές.
3. Σχεδιασμός - χρόνος χρήσης
Με βάση το χρόνο χρήσης διακρίνονται και οι ακόλουθες τέσσερις βασικές κατηγορίες έργων:
Κατηγορία Ι
Οι προσωρινές κατασκευές με ένα ελάχιστο χρόνο χρήσης 5 ετών.
Κατηγορία ΙΙ
Οι κατασκευές περιορισμένης διάρκειας. Είναι κυρίως προσωρινές κατασκευές με ένα ελάχιστο χρόνο χρήσης 30 ετών. Εάν δεν γίνεται ιδιαίτερη αναφορά στους όρους δημοπράτησης, στην κατηγορία αυτή θα κατατάσσονται έργα που πρόκειται μελλοντικά να καθαιρεθούν ή να παύσει η χρησιμότητά τους στα πλαίσια εργασιών βελτίωσης (αναβάθμισης, διαπλάτυνσης παραλλαγής) των έργων, σύμφωνα με τον προβλεπόμενο σχεδιασμό των έργων.
Κατηγορία ΙΙΙ
Οι μόνιμες κατασκευές με ελάχιστο χρόνο χρήσης 70 ετών και περιλαμβάνουν τα συνήθη έργα (κυρίως τους τοίχους αντιστήριξης). Στην κατηγορία αυτή κατατάσσονται, εάν δεν γίνεται ιδιαίτερη αναφορά στους όρους δημοπράτησης, τα έργα σε αυτοκινητόδρομους, εθνικές οδούς, επαρχιακές οδούς και κοινοτικές οδούς και στους συναφείς προς τα παραπάνω έργα κλάδους κόμβων.
Κατηγορία IV
Οι μόνιμες κατασκευές μεγάλης σπουδαιότητας με ελάχιστο χρόνο χρήσεως 100 ετών, όπως κατασκευές που στηρίζουν σιδηροδρόμους (ύστερα από έγκριση Οργανισμού Σιδηροδρόμων Ελλάδος), αυτοκινητοδρόμους ειδικής σημασίας (όταν εναλλακτικές διαδρομές λόγω ατυχημάτων απαιτούν πολύ μεγάλες εκτροπές σημαντικού φόρτου ή / και δημιουργούν μεγάλες κυκλοφοριακές συμφορήσεις) ακρόβαθρα γεφυρών, φράγματα και γενικά κατασκευές που απαιτούν πολύ υψηλούς συντελεστές ασφάλειας.
4. Περιβαλλοντική θεώρηση
Στην παρούσα προδιαγραφή και με βάση την επιρροή του περιβάλλοντος διακρίνονται οι ακόλουθες τέσσερις βασικές κατηγορίες έργων:
Κατηγορία Α - Κατασκευές έξω από το νερό
Είναι οι κατασκευές που ποτέ δεν κατακλύζονται από νερά και δεν εντάσσονται στην κατηγορία Δ.
Κατηγορία Β - Κατασκευές μέσα σε γλυκό νερό
Αυτές είναι κατασκευές που μόνιμα ή περιοδικά κατακλύζονται, μερικά ή ολικά, από νερό. Η περιεκτικότητα του νερού σε άλατα πρέπει να περιορίζεται στα όρια που ισχύουν για πόσιμο νερό και χαρακτηρίζεται από την περιεκτικότητα σε ιόντα
(Cl-) ≤ 250 mg/l και (SO4-) ≤ 250 mg/l
Κατηγορία Γ - Κατασκευές σε αλμυρό ή υφάλμυρο νερό
Αυτές είναι οι κατασκευές που μόνιμα ή περιοδικά κατακλύζονται, μερικά ή ολικά από αλμυρό ή υφάλμυρο νερό ή/και μπορούν να εκτεθούν απ' ευθείας σε θαλάσσιους κυματισμούς. Το υφάλμυρο νερό δηλώνει εδώ το νερό εκβολής ποταμών, λιμνοθαλασσών και γενικότερα κάθε νερό του οποίου η περιεκτικότητα σε άλατα είναι ενδιάμεση της περιεκτικότητας σε άλατα του γλυκού και θαλάσσιου νερού.
Κατηγορία Δ -Ιδιαίτερες κατασκευές.
Τέτοιες είναι οι κατασκευές που βρίσκονται σε περιβάλλον ιδιαίτερα επιθετικό για τον χάλυβα και το σκυρόδεμα.
5. Φορτίσεις
5.1. Γενικά
Σαν φορτία υπολογισμού θα λαμβάνονται αυτά που ισχύουν σε τοίχους από οπλισμένο σκυρόδεμα με τις εξής διαφοροποιήσεις:
(1) Η προκαταβολική γνώση του φαινομένου βάρους των εδαφών γ, δεν είναι γενικά γνωστή και μπορεί επίσης να μεταβάλλεται με το χρόνο. Οι δυνάμεις συνεπώς ιδίου βάρους θα πρέπει να υπολογίζονται θεωρώντας χαρακτηριστικές τιμές του φαινομένου βάρους. Αν μια τέτοια μέση τιμή είναι γνωστή για το έδαφος που χρησιμοποιείται στην κατασκευή του οπλισμένου τμήματος της οπλισμένης επίχωσης στις ιδιαίτερες συνθήκες κατασκευής του συγκεκριμένου έργου, οι ανωτέρω χαρακτηριστικές τιμές θα λαμβάνονται προσθέτοντας ή αφαιρώντας το 5% της μέσης αυτής τιμής. Εάν η φύση του εδάφους δεν είναι προκαταβολικά γνωστή, επιτρέπεται να λαμβάνονται υπόψη οι ακόλουθες τιμές (kN/m3):
Πίνακας 1-10: Αποδεκτές τιμές φαινόμενου και υπό άνωση βάρους γαιών (kN/m3)
|
γMIN
|
γMAX
|
Γ
|
18
|
20
|
γ (υπό άνωση)
|
10
|
12
|
Οι τιμές αυτές μπορούν να χρησιμοποιηθούν και για το οπίσθιο επίχωμα πλήρωσης.
(2) Γενικά, η συνισταμένη της ώθησης των γαιών λόγω του οπισθίου επιχώματος πλήρωσης θα υπολογίζεται με την υπόθεση ότι είναι κεκλιμένη ως προς την οριζόντια κατά μία γωνία β που δίδεται από τον ακόλουθο τύπο:

όπου φ2 η γωνία εσωτερικής τριβής του οπίσθιου επιχώματος πλήρωσης (σχήμα 10-3). Η ενεργητική ώθηση των γαιών θα υπολογίζεται χρησιμοποιώντας ένα συντελεστή του Coulomb ο οποίος έχει την ακόλουθη οριζόντια συνιστώσα:


Σχήμα 10-3.
(3) Τα υπερκείμενα μόνιμα και κινητά φορτία θα λαμβάνονται με τις πραγματικές τους τιμές με βάση τους ισχύοντες κανονισμούς φόρτισης.
(4) Η υδροστατική πίεση δεν απαιτεί κατά κανόνα τον υπολογισμό της στο οπίσθιο επίχωμα πλήρωσης, θα πρέπει όμως να λαμβάνεται υπόψη σε κατασκευές που οριοθετούν ακτές ή όχθες μαζί με κατάλληλες μεταβολές των παραμέτρων του εδάφους.
(5) Σεισμική επιβάρυνση. Ισχύουν τα κεφάλαια 2 και 3 της παρούσας Οδηγίας Μελετών Οδικών Έργων και συμπληρωματικά ο [Π] Ελληνικός Αντισεισμικός Κανονισμός 2000 (παράγραφος 5.3). Τυχόν άλλοι υπολογισμοί που εφαρμόζονται από διεθνή συστήματα ισχύουν μόνο αν είναι γενικά δυσμενέστεροι από τα παραπάνω.
(6) Φορτία πρόσκρουσης στα στηθαία ασφάλειας. Θα λαμβάνονται υπόψη στη διαστασιολόγηση των οπλισμών.
5.2. Συνδυασμένες επιρροές φορτίων - Φορτικοί Συντελεστές
5.2.1. Κατασκευές έξω από το νερό
Συμπληρωματικά προς την παρούσα προδιαγραφή ισχύουν οι Γερμανικοί Κανονισμοί DIN που αναφέρονται στη σχετική προδιαγραφή Bedingungen fur die Anwendung des Bauverfahrens Bewehrte Erde. Εφόσον έχει κυκλοφορήσει νεωτέρα έκδοση, ισχύει αυτή. Όταν όμως οι απαιτήσεις/υπολογισμοί ενός συστήματος οπλισμένης επίχωσης είναι δυσμενέστεροι (υπέρ της ασφάλειας), τότε θα ισχύουν οι απαιτήσεις/υπολογισμοί του συστήματος.
Για τους συνδυασμούς φορτίσεων που ακολουθούν θα λαμβάνονται υπόψη οι παρακάτω τιμές φαινόμενου βάρους γαιών:
Πίνακας 2-10: Φαινόμενο βάρος γαιών στους συνδυασμούς φορτίσεων
Φόρτια
|
Συνδυασμοί φορτίσεων
|
A
|
B
|
Γ
|
Δ
|
Ίδιον βάρος του τοίχου
|
γ = γmax
|
γ = γmax
|
γ = γmin
|
γ = γmax
|
Βάρος επιχώματος στην κορυφή του οπλισμένου τμήματος
|
γ = γmax
|
γ = γmax
|
γ = γmin
|
γ = γmax
|
Ωθήσεις γαιών
|
γ = γmax
|
γ = γmax
|
γ = γmax
|
γ = γmax
|
Οι συνδυασμοί είναι:
Συνδυασμός Α
Αυτός ο συνδυασμός λαμβάνει υπόψη του τις μέγιστες τιμές όλων των φορτίων και συνεπώς φυσιολογικά δημιουργεί τον μέγιστο εφελκυσμό στους οπλισμούς. Μπορεί επίσης να προσδιορίζει την απαίτηση σε οπλισμό ώστε να ικανοποιείται η συνθήκη αντοχής σε εξόλκευση, αν και αυτή συνήθως διέπεται από το συνδυασμό Γ.
Συνδυασμός Β
Αυτός ο συνδυασμός είναι παρόμοιος με τον Α, αλλά χωρίς την επιβολή των κινητών φορτίων στην κατασκευή. Για μερικές γεωμετρίες αυτός ο συνδυασμός μπορεί να δώσει τη μέγιστη τάση έδρασης ή τον μέγιστο εφελκυσμό του οπλισμού. Αυτό οφείλεται στην εκκεντρότητα του συνισταμένου φορτίου που πιθανόν να αυξάνεται για μερικές γεωμετρίες της κατασκευής, ενώ το μέγεθός του μειώνεται σε σύγκριση με τον συνδυασμό Α.
Συνδυασμός Γ
Αυτός ο συνδυασμός εξετάζει τα μέγιστα φορτία ανατροπής μαζί με τα ελάχιστα ίδια βάρη της κατασκευής και κινητού φορτίου. Αυτός ο συνδυασμός συνήθως καθορίζει την απαίτηση σε οπλισμό για την αντοχή του σε εξόλκευση.
Συνδυασμός Δ
Αυτός ο συνδυασμός εξετάζει μόνο τα νεκρά φορτία και χρησιμοποιείται για να προσδιορίσει τις καθιζήσεις της θεμελίωσης.
5.2.2. Κατασκευές μέσα στο νερό
Στην περίπτωση κατασκευών μέσα σε νερό είναι απαραίτητο να διακρίνονται δύο καταστάσεις:
| • | Η χαρακτηριστική κατάσταση, κατά την οποία πρέπει να λαμβάνονται υπόψη μόνο οι συνδυασμοί μονίμων δρώντων φορτίων σε σχέση με τις επιρροές που δημιουργούνται από την παρουσία του νερού στην κατασκευή. Όταν γίνεται θεώρηση του ίδιου βάρους του εδάφους υπό άνωση, χρησιμοποιείται το φαινόμενο βάρος του εδάφους. |
| • | Η κανονική κατάσταση με τους συνδυασμούς Α έως Δ της παραγράφου 5.2.1, λαμβάνοντας πάντοτε υπόψη την επιρροή του νερού (π.χ. άνωση). |
6. Μεθοδολογία υπολογισμού
6.1. Εισαγωγή
Σε μια ορισμένη στάθμη οπλισμού η εφελκυστική δύναμη επιτυγχάνει τη μέγιστη τιμή της, όχι στο σημείο σύνδεσης του οπλισμού με το πέτασμα αλλά στο εσωτερικό του τοίχου. Η τιμή του λόγου των εφελκυστικών δυνάμεων Τ0/Τmax (σχήμα 10-4) έχει βρεθεί πειραματικά και αναλυτικά ότι αυξάνει ανάλογα με την ακαμψία του πετάσματος (σχήμα 10-5).
Για διακεκριμένα προκατασκευασμένα στοιχεία από οπλισμένο σκυρόδεμα και για βάθη μεγαλύτερα από το 0,6. Η ο λόγος αυτός βρέθηκε ότι μπορεί να πλησιάσει τη μονάδα. Συνεπώς για τη διαστασιολόγηση κατασκευών από οπλισμένη επίχωση θα πρέπει να λαμβάνονται υπόψη οι τιμές του λόγου Τ0/Τmax που υποδεικνύει το σχήμα 10-5.

Σχήμα 10-4.
Ο γεωμετρικός τόπος των σημείων των μέγιστων εφελκυστικών δυνάμεων στις διάφορες στάθμες των οπλισμών διέρχεται από το κατώτερο άκρο της όψεως και είναι σχεδόν κατακόρυφος στο άνω ήμισυ της κατασκευής (σχήμα 10-4). Στο ανώτερο τμήμα του τοίχου η απόσταση που χωρίζει την καμπύλη των μέγιστων εφελκυστικών δυνάμεων από την όψη είναι πάντοτε μικρότερη από 0.3 Η. Επιπλέον, η καμπύλη των μέγιστων εφελκυστικών δυνάμεων χωρίζει τη μάζα της οπλισμένης επίχωσης στις εξής δύο περιοχές (ζώνες):
(1) Ενεργός περιοχή (ζώνη):
Η περιοχή αυτή βρίσκεται πλησιέστερα στην όψη του τοίχου και οι διατμητικές τάσεις που εξασκούνται στον οπλισμό διευθύνονται προς την όψη του τοίχου. Δηλαδή το έδαφος έχει την τάση να τραβήξει προς τα έξω τους οπλισμούς.
(2) Περιοχή αγκύρωσης (ζώνη):
Η περιοχή στην οποία οι διατμητικές τάσεις στον οπλισμό διευθύνονται προς το εσωτερικό του τοίχου, όπου το έδαφος έχει την τάση να συγκρατεί τον οπλισμό.

Σχήμα 10-5.

Σχήμα 10-6.
Στη γενική περίπτωση για τοίχους από οπλισμένη επίχωση που αντιστηρίζει πρανή, ο υπολογισμός πρέπει να γίνεται με βάση την απλοποιημένη γραμμική κατανομή των μεγίστων εφελκυστικών δυνάμεων που παρουσιάζεται στο σχήμα 10.6. Ο γεωμετρικός τόπος των σημείων των μέγιστων εφελκυστικών δυνάμεων στις διάφορες στάθμες των οπλισμών του σχήματος 10-6 μπορεί να τροποποιείται από την παρουσία επιβαλλόμενων συγκεντρωμένων φορτίων.
Σ' αυτές τις περιπτώσεις ο προσδιορισμός του τόπου των μέγιστων εφελκυστικών δυνάμεων στις στάθμες των διαφόρων οπλισμών θα είναι συνάρτηση της θέσεως και γεωμετρίας του επιβαλλόμενου φορτίου καθώς επίσης και του μεγέθους του ίδιου του φορτίου και θα πρέπει να εξετάζονται κάθε μία ιδιαίτερα.
6.2. Τάσεις μέσα στην Οπλισμένη Επίχωση
6.2.1. Κατακόρυφη τάση σ1
Στη στάθμη θεμελίωσης και σε οποιαδήποτε άλλη ενδιάμεση στάθμη οπλισμού η κατακόρυφη τάση σ1 θα υπολογίζεται από τη συνισταμένη ΣV όλων των φορτίων που εφαρμόζονται στην κατασκευή χρησιμοποιώντας την κατανομή που υποδείχθηκε από τον Meyerhof. Η κατανομή αυτή θα γίνεται όπως υποδείχθηκε για θεμέλια που υπόκεινται σε δυνάμεις ανατροπής, δηλαδή την παραδοχή ομοιόμορφης πίεσης αλλά σε ένα φορτιζόμενο πλάτος ίσο με το πλήρες πλάτος του θεμελίου μειωμένο κατά δύο φορές την εκκεντρότητα της συνισταμένης κατακόρυφης δυνάμεως στη βάση. Αν Μ είναι η συνισταμένη ροπή αυτών των φορτίων ως προς το μέσον της βάσης, τότε:

Η κατανομή των κατακόρυφων φορτίων, συγκεντρωμένων ή γραμμικών, που εξωτερικά επιβάλλονται στη στέψη του τοίχου (π.χ. ακρόβαθρα υπό μορφή εδράνου), μπορεί να θεωρηθεί ότι γίνεται στη μάζα της οπλισμένης περιοχής είτε με μία κλίση 2:1 (κατακόρυφο:οριζόντιο) εγκάρσια προς τη δοκό έδρασης, είτε χρησιμοποιώντας ακριβέστερους τύπους διανομής πιέσεων (π.χ. Boussinesq). Οι τάσεις στην περίπτωση της κατανομής 2:1 διανέμονται ομοιόμορφα (σχήμα 10-7)α).
Αν δεν εφαρμόζονται ακριβέστεροι τύποι κατανομής φορτίου (τύπου Boussinesq κ.λ.π.) από την κατανομή φορτίων 2:1, τότε η κατανομή παράλληλα προς το γραμμικό φορτίο θα γίνεται κατά το σχήμα 10-7)β και, για λόγους ασφάλειας, ο οπλισμός που υπολογίζεται εντός του τμήματος κατανομής 1 θα επεκτείνεται χωρίς μείωση στο διαγραμμισμένο τμήμα 2 του ίδιου σχήματος.

Σχήμα 10-7)α.

Σχήμα 10-7)β.
Για τα φορτία αυτά ο υπολογισμός της τάσης σ1 θα γίνεται με βάση την αρχή της επαλληλίας όπως φαίνεται στο σχήμα 10-8.

Σχήμα 10-8.
6.2.2. Οριζόντια τάση σ3
Αυτή είναι της μορφής σ3 = Κ x σ1 + Δ σ3
όπου:
σ1 = είναι κατακόρυφη τάση σε δεδομένη στάθμη z
K = είναι ο συντελεστής ώθησης
Στην περιοχή από την κορυφή των τοίχων και μέχρι ενός βάθους 6 m, οι τιμές του Κ που υπολογίστηκαν από μετρήσεις πολυάριθμων τοίχων από οπλισμένη επίχωση σε φυσική κλίμακα βρέθηκαν σημαντικά μεγαλύτερες από την τιμή του συντελεστή ενεργητικής ώθησης Κα και οφείλονται κυρίως στις τάσεις που προκαλούνται στο επίχωμα από τις εργασίες συμπύκνωσής του. Αυτές οι τιμές του Κ προσεγγίζουν πολύ στην περιοχή αυτή την τιμή Κ0 του συντελεστή ώθησης ηρεμίας. Συνεπώς, για τους υπολογισμούς ο συντελεστής αυτός θα ορίζεται σε συνάρτηση με το βάθος και θα έχει την τιμή Κ0 στη στάθμη z = 0 και την τιμή Κα από τη στάθμη z = 6 και κάτω (σχήμα 10-9). Μεταξύ z = 0 και z = 6 m, η τιμή του Κ θα μεταβάλλεται γραμμικά και θα είναι:

Σχήμα 10-9.
Η γωνία φ1 είναι η γωνία εσωτερικής τριβής του επιχώματος πλήρωσης και αν δεν προσδιορίζεται επακριβώς μπορεί να λαμβάνεται ίση με 36° και μόνο υπό τις προϋποθέσεις των παραγράφων 14.4 και 15.
Δ σ3 είναι η πρόσθετη οριζόντια τάση που προέρχεται από την επιβολή εξωτερικής οριζόντιας δύναμης, ή η δύναμη σεισμού της ανωδομής κ.λ.π.). Η κατανομή της οριζόντιας δύναμης θα πρέπει να γίνεται όπως υποδεικνύει το σχήμα 10-10. Η κατανομή παράλληλα προς τη δοκό έδρασης και ο υπολογισμός των οπλισμών πρέπει να γίνεται σύμφωνα με τις οδηγίες που τέθηκαν για τα κατακόρυφα φορτία (παράγραφος 6.2.1).

Σχήμα 10-10.
6.3. Αντοχή Εξόλκευσης
Η αντοχή εξόλκευσης καθορίζεται σύμφωνα με το σύστημα, είτε δια της τριβής, είτε δια της παθητικής αντίστασης του εδάφους.
7. Διαστασιολόγηση
Η διαστασιολόγηση κατασκευών από οπλισμένη επίχωση, για το οπλισμένο τμήμα, πρέπει να αποδεικνύεται σε δύο χωριστά στάδια:
(1) από τον έλεγχο σε εξωτερική ευστάθεια και
(2) από τον έλεγχο σε εσωτερική ευστάθεια
7.1. Εξωτερική ευστάθεια
7.1.1. Η εξωτερική ευστάθεια του οπλισμένου τμήματος πρέπει να ελέγχεται στο σύνολο του έργου, που αποτελείται από την κατασκευή αντιστήριξης συμπεριλαμβανομένης και της θεμελίωσης, όπως αυτή ελέγχεται στους τοίχους αντιστήριξης.
Ο υπολογισμός των σεισμικών δράσεων θα γίνεται με τη μέθοδο Mononobe - Okabe και σύμφωνα με την παράγραφο 3.2.1.β της Εγκυκλίου [Π] Ε39/1993, σε συνδυασμό με την παράγραφο 5.3 του Ελληνικού Αντισεισμικού Κανονισμού 2000, στις οποίες παραπέμπει το κεφάλαιο 2 της παρούσας Οδηγίας Μελετών Οδικών Έργων.
7.1.2. Κριτήρια ελέγχου
(1) Τάση έδρασης
Η εφαρμοζόμενη στο έδαφος τάση σΕΔ, προσδιοριζόμενη σύμφωνα με τη σχέση της παραγράφου 6.2.1, θα πρέπει να είναι μικρότερη της επιτρεπόμενης τάσης έδρασης σΕΠ που προκύπτει ως ακολούθως:

όπου:
σ0 = η αρχική κατακόρυφη τάση στο επίπεδο θεμελίωσης και ισούται με Γd
γ = ίδιο βάρος του εδάφους θεμελίωσης
D = βάθος θεμελίωσης της όψης του τοίχου
Δq r = το συμπλήρωμα της φέρουσας ικανότητας που έχει το έδαφος στη στάθμη θεμελίωσης
ΓS = συντελεστής ασφάλειας που θα πρέπει να είναι τουλάχιστον ίσος με 2,00 (και για σεισμική φόρτιση)
(2) Κριτήριο ολίσθησης κάτω από τη βάση
Αυτό το κριτήριο συνίσταται στη διαπίστωση ότι οι οριζόντιες δυνάμεις που εξασκούνται στη μάζα του οπλισμένου τμήματος θα πρέπει να είναι μικρότερες από την αντίσταση τριβής της οπλισμένης μάζας στη στάθμη του εδάφους θεμελίωσης. Συνεπώς θα πρέπει η οριζόντια συνολική δύναμη Rh να είναι μικρότερη της επιτρεπόμενης τιμής σε ολίσθηση Rh,ΕΠ όπου:
και
μ είναι ο συντελεστής τριβής μεταξύ της μάζας του οπλισμένου τμήματος και του εδάφους θεμελίωσης. Ο συντελεστής τριβής μ θα λαμβάνει τη μικρότερη εκ των τιμών tan(φ0) και tan(φ1) με φ1 τη γωνία τριβής του επιχώματος πλήρωσης και φ0 τη γωνία του εδάφους θεμελίωσης
Rv η κατακόρυφη συνισταμένη δύναμη
c η συνοχή του εδάφους θεμελίωσης (το πολύ 100 kN/m2) εφόσον είναι εξασφαλισμένη σ' όλη τη διάρκεια ζωής του έργου.
Β' το πλάτος της βάσης που θεωρείται ότι φορτίζεται (και πάντως μικρότερο των L και Η)
γg συντελεστής ασφάλειας που ισχύει για τοίχους αντιστήριξης
(3) Συνολική ευστάθεια
Η συνολική ευστάθεια θα ελέγχεται όπως σε κάθε άλλη κατασκευή.
(4) Καθίζηση
Θα ελέγχεται το μέγεθός της στη στάθμη θεμελίωσης. Η τάση έδρασης στο συνδυασμό φόρτισης Δ υπολογίζεται γι' αυτό το σκοπό. Αν η διαφορική καθίζηση ξεπερνά το 1%, θα πρέπει να ελέγχεται το εύρος των αρμών και να λαμβάνονται κατασκευαστικά μέτρα για την αποφυγή ζημιών από το κλείσιμο των αρμών στα πετάσματα. Τα κατασκευαστικά μέτρα θα φαίνονται στα σχέδια και θα εγκρίνονται από την Υπηρεσία.
7.2. Εσωτερική ευστάθεια
Η εσωτερική ευστάθεια συνίσταται από δύο κυρίως ελέγχους σε κάθε επίπεδο όπλισης:
7.2.1. Έλεγχος επάρκειας διατομής χάλυβα
Η επάρκεια των διατομών του οπλισμού πρέπει να ελέγχεται στις εξής δύο παρακάτω κρίσιμες διατομές:
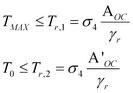
| • | πρώτη είναι η διατομή στην οποία εξασκείται η μέγιστη εφελκυστική δύναμη ΤMAX και |
| • | δεύτερη είναι η διατομή σύνδεσης οπλισμού και όψης του τοίχου η οποία, αν και υπόκειται γενικά σε μια μικρότερη εφελκυστική δύναμη Τ0, μπορεί να είναι ασθενέστερη λόγω ενδεχόμενης διάνοιξης των οπών σύνδεσης. |
Στο σημείο σύνδεσης μεταξύ οπλισμού και όψης η εφελκυστική δύναμη Τ0, για συνήθη διακεκριμένα πετάσματα από σκυρόδεμα μπορεί, σύμφωνα με το σχήμα 10-5 να μεταβάλλεται μεταξύ 85% και 100% της ΤMAX θα ελέγχεται αν

όπου:
σ4 Τάση διαρροής οπλισμού
ΑOC Χρήσιμη διατομή που απομένει μετά την αφαίρεση του θυσιαζόμενου από το χρόνο χάλυβα.
Για οπλισμούς ορθογωνικής διατομής:
| • | με b0 ≥ 7e0 θα λαμβάνεται ΑOC = b0 x (e0 - eS) και |
| • | με b0 < 7e0 θα λαμβάνεται ΑOC = (b0 - bS) x (e0 - eS). |
Όταν χρησιμοποιούνται ράβδοι κυκλικής διατομής θα πρέπει να λαμβάνεται ΑOC = 0.25 π (d0 - dS)2.
Στις ανωτέρω σχέσεις είναι:
| • | b0, e0, d0 το αρχικό πλάτος, πάχος και διάμετρος του οπλισμού αντίστοιχα και |
| • | bS, eS, dS η μείωση λόγω διάβρωσης στο πλάτος, πάχος και διάμετρο του οπλισμού αντίστοιχα (παράγραφος 8). |
Α'OC Χρήσιμη διατομή που απομένει μετά την αφαίρεση από την ΑOC της ενδεχόμενης διατομής της οπής για την αγκύρωση του πετάσματος.
γr Συντελεστής ασφάλειας σε διαρροή του χάλυβα και θα λαμβάνεται ίσος με 1,5 για κατασκευές κατηγορίας ΙΙΙ ή 1,65 για κατασκευές με απαιτούμενο υψηλό συντελεστή ασφάλειας (κατηγορία ΙV) και κατασκευές σε όχθες ποταμών ή θάλασσας.
ΤMAX Μέγιστη εφελκυστική δύναμη του χάλυβα. Στο σημείο Μ της μέγιστης εφελκυστικής δύναμης οι διατμητικές τάσεις στο έδαφος σε ένα οριζόντιο επίπεδο είναι μηδέν και συνεπώς η κατακόρυφη τάση σ1 και οριζόντια σ3 είναι κύριες τάσεις. Για λόγους συμμετρίας θα είναι μηδενικές και οι διατμητικές τάσεις σε οριζόντια επίπεδα που κείνται στη μέση απόσταση μεταξύ δύο στρώσεων οπλισμών (σχήμα 10-11).

Σχήμα 10-11.
Η μέγιστη εφελκυστική δύναμη προσδιορίζεται εύκολα γράφοντας την τοπική συνθήκη ισορροπίας μεταξύ της σ3 και των δυνάμεων του οπλισμού και είναι:
ΤMAX = σ3 x ΔΗ/Ν
όπου ΔΗ είναι η κατακόρυφη απόσταση μεταξύ δύο οριζόντιων διαδοχικών στρώσεων οπλισμού και Ν ο αριθμός των οπλισμών σε μία στρώση ανά μονάδα μήκους.
Στην περίπτωση σεισμού, διακρίνονται δύο περιπτώσεις:
Τοίχοι αντιστήριξης
Για τον υπολογισμό της εσωτερικής ευστάθειας θα πρέπει να υπολογίζεται μία συνολική αδρανειακή δύναμη ΕD, σαν συνάρτηση του βάρους WA, της ενεργού ζώνης από την εξίσωση:

Για κοινές και απλές κατασκευές μπορεί γενικά να λαμβάνεται
.
Η Ed θα διανέμεται μεταξύ των οπλισμών σε αναλογία με τη χρήσιμη αγκυρούμενη επιφάνειά τους μέσα στη ζώνη αγκύρωσης. Η δύναμη ΕD θα προστίθεται στις στατικές δυνάμεις ΤMAX που έχουν υπολογιστεί χωρίς την επέμβαση των δυνάμεων που υπολογίστηκαν στην παράγραφο 1.5.1.(5).
Ακρόβαθρα προσωρινών γεφυρών
Για τον έλεγχο της εσωτερικής ευστάθειας, η διανομή μεταξύ των οπλισμών της συνολικής εσωτερικής αδρανειακής δύναμης ΕD θα προστίθεται στις στατικές εφελκυστικές δυνάμεις. Για τον υπολογισμό της ΕD τα στατικά κατακόρυφα φορτία από τη δοκό έδρασης και από τη γέφυρα προστίθενται στο βάρος της ενεργού ζώνης.
7.2.2. Έλεγχος επάρκειας αγκυρώσεων των οπλισμών
Ισχύουν γενικά οι προδιαγραφές των εγκεκριμένων συστημάτων οπλισμένης επίχωσης με συντελεστή ασφάλειας για κατασκευές κατηγορίας ΙΙΙ ίσο προς 1,50 και για κατασκευές κατηγορίας IV ίσο προς 1,65.
7.3. Περιορισμοί στη διαστασιολόγηση - Καθορισμός ελαχίστων τιμών
7.3.1. Ελάχιστο βάθος θεμελίωσης
Θα καθορίζεται σε σχέση με την κλίση της επιφάνειας του εδάφους έδρασης ως εξής:

όπου:
D ελάχιστο βάθος έδρασης (m)
θ γωνία κλίσης φυσικού εδάφους μπροστά από την κατασκευή
σΕΔ τάση έδρασης σε kPa
Σε περίπτωση κατασκευών που τοποθετούνται σε κεκλιμένο έδαφος το βάθος D θα μετράται από την άνω επιφάνεια του οριζόντιου εδαφικού τμήματος το οποίο γενικά θα διαμορφώνεται στο πρανές με ένα πλάτος τουλάχιστον ενός μέτρου (σχήμα 10-12).

Σχήμα 10-12.
Η τιμή των 0,40 m θα τηρείται κατ' ελάχιστον σε όλες τις κατασκευές, εκτός αν η έδραση γίνεται σε θεμέλιο από σκυρόδεμα ή σε σκληρό βράχο, οπότε κατά περίπτωση είναι δυνατή η μείωσή του μετά από σύμφωνη γνώμη της επιβλέπουσας το έργο Υπηρεσίας. Πέρα των ανωτέρω τιμών, στο βάθος έδρασης θα λαμβάνεται σχετική πρόνοια για υφιστάμενες κατασκευές ή όπου προβλέπονται νέες, όπως υπόγεια έργα γενικώς, κανάλια απορροής ή εξυπηρέτησης εγκαταστάσεων παράπλευρων οδών κ.α.
7.3.2. Ελάχιστο μήκος οπλισμού
(1) Οι μάζες από οπλισμένη επίχωση οι οποίες χρησιμοποιούνται σαν τοίχοι αντιστήριξης, κ.λ.π., πρέπει να έχουν μήκος οπλισμού L το οποίο να είναι μεγαλύτερο ή ίσο από 0,7 Η. Οι υπολογισμοί ευστάθειας και οι θεωρήσεις για την πρόσφυση εδάφους - οπλισμού μπορεί όμως να οδηγήσουν σε μήκος οπλισμού L το οποίο να είναι πολύ μεγαλύτερο από 0,7 Η.
(2) Για την περίπτωση στερέωσης στηθαίων ασφάλειας, η μάζα από οπλισμένη επίχωση, η οποία χρησιμοποιείται σαν τοίχος αντιστήριξης κ.λ.π., πρέπει να έχει μήκος οπλισμού L το οποίο να είναι μεγαλύτερο ή ίσο προς 5,00 m σε βάθος τουλάχιστον 3,00 m, ανεξάρτητα από τα αποτελέσματα που θα προκύψουν από τους υπολογισμούς, σύμφωνα με όσα αναφέρονται στην παραπάνω παράγραφο 5.1.(6).
Ειδικά για ακρόβαθρα προσωρινών γεφυρών το μήκος των οπλισμών θα πρέπει να ικανοποιεί γενικά τις παρακάτω συνθήκες:
L ≥ 7 m και
L ≥ (0,6 H + 2) m αλλά πάντοτε
L ≥ 0,7 H m
όπου Η το μηχανικό ύψος τοίχου (m).
Μείωση του μήκους μερικών οπλισμών κάτω από το προβλεπόμενο όριο μπορεί να γίνει μόνον μετά από σχετική μελέτη και έγκρισή της. Σ' αυτή την περίπτωση όμως η αλλαγή του μήκους του οπλισμού πρέπει να είναι βαθμιαία. Αυτό αφορά για παράδειγμα, την περίπτωση τοίχων θεμελιωμένων σε πρανές όπου το μήκος οπλισμού μπορεί να μειωθεί στο 0.4 Η στη βάση (αλλά με 0.7 Η στη στέψη) και με την προϋπόθεση ότι πληρούται η συνθήκη εξωτερικής ευστάθειας του τοίχου (σχήμα 10-13).

Σχήμα 10-13.

Σχήμα 10-14.
Άλλες περιπτώσεις όπου επιτρέπεται μείωση του μήκους όπλισης είναι οι περιπτώσεις όπλισης εδάφους που υποστηρίζει ένα πρανές με αρνητική κλίση που δεν εξασκεί στην οπλισμένη μάζα καμία ενεργητική ώθηση και αυτή των τοίχων με διπλή όψη (double facing) σε περιπτώσεις στενών προσβάσεων. Και στις δύο αυτές περιπτώσεις ο σχεδιασμός επιτρέπεται να γίνει με ελάχιστο μήκος οπλισμού μεγαλύτερο ή ίσο του 0,60 Η (σχήμα 10-14).
7.3.3. Ελάχιστο πάχος
Αν και οι υπολογισμοί μπορούν να απαιτήσουν σε πολλές περιπτώσεις μικρά πάχη οπλισμών, για λόγους προφύλαξης από τους κινδύνους έξαρσης τοπικών διαβρώσεων και συνεπώς τοπικής εξασθένισης της διατομής του οπλισμού, το ελάχιστο πάχος σε χιλιοστά των οπλισμών που θα χρησιμοποιούνται δεν θα είναι μικρότερο από τις τιμές που αναγράφονται στους πίνακες που ακολουθούν:
Πίνακας 3-10: Ελάχιστο πάχος διατομής για επιψευδαργυρωμένο χάλυβα (mm)
Κατηγορία έργου
|
I
|
II
|
III
|
IV
|
A
|
-
|
3.0
|
4.0
|
5.0
|
B
|
-
|
3.0
|
5.0
|
5.0
|
Πίνακας 4-10: Ελάχιστο πάχος διατομής για χάλυβα χωρίς προστασία (mm)
Κατηγορία έργου
|
I
|
II
|
III
|
IV
|
A
|
3.0
|
4.0
|
-
|
-
|
B
|
3.0
|
5.0
|
-
|
-
|
7.3.4. Γωνία τομής τοίχων
Η εσωτερική γωνία που σχηματίζεται μεταξύ των δύο όψεων συναντώμενων τοίχων θα πρέπει να είναι μεγαλύτερη από 65 μοίρες.
7.3.5. Ακτίνα καμπυλότητας
Η ελάχιστη ακτίνα καμπυλότητας καμπύλων τοίχων με πετάσματα από σκυρόδεμα είναι συνάρτηση του ύψους της όψης και θα πρέπει να διαμορφώνεται ως εξής:
| • | Για όψη με ύψος μεγαλύτερο ή ίσο από 10 m η ακτίνα καμπυλότητας θα είναι 30 m |
| • | Για όψη με ύψος μικρότερο ή ίσο από 3 m η ακτίνα καμπυλότητας θα είναι 15 m |
| • | Για όψη με ύψος μεταξύ 3 και 10 m η ακτίνα καμπυλότητας θα βρίσκεται με γραμμική παρεμβολή. |
7.3.6. Στερεό έδρασης πετασμάτων
Οι ελάχιστες διαστάσεις του στερεού έδρασης των πετασμάτων από άοπλο σκυρόδεμα θα είναι: πλάτος 0,35 m, πάχος 0,15 m όπως φαίνεται στο σχήμα 10-15.

Σχήμα 10-15.
7.3.7. Δοκός έδρασης προσωρινών γεφυρών
Σε ακρόβαθρα, η δοκός έδρασης και η διάταξη γύρω από αυτήν θα πρέπει κατ' ελάχιστον να ικανοποιούν τα εξής:
Το πλάτος της δοκού έδρασης πρέπει να υπολογίζεται έτσι ώστε η τάση που μεταφέρεται στη μάζα της οπλισμένης επίχωσης από τα μόνιμα φορτία, και υπολογίζεται σύμφωνα με τη μέθοδο του Meyerhof, να είναι μικρότερη από 150 KPa, χωρίς τμηματικούς συντελεστές φορτίου. Για την περίπτωση που η παραπάνω τάση υπολογίζεται από άθροισμα μονίμων και κινητών φορτίων θα πρέπει να είναι μικρότερη από 250 KPa.
Η απόσταση του σημείου έδρασης του φορέα από την όψη του πετάσματος θα πρέπει να είναι μεγαλύτερη ή ίση από 1,0 m.
Η απόσταση του εμπρός άκρου της δοκού έδρασης από τα πετάσματα θα πρέπει να είναι μεγαλύτερη από 0,10 m. Για ακρόβαθρα με ύψος άνω των 10 m αυτή θα πρέπει να είναι μεγαλύτερη ή ίση από 0,15 m. Η απόσταση αυτή θα πρέπει να διατηρείται ακόμη και αν ληφθούν υπόψη οι ανοχές της κατασκευής. Σκοπός της απόστασης αυτής είναι η ανεξαρτητοποίηση της δοκού έδρασης από την όψη. Σε περίπτωση κατασκευής κορνίζας πάνω και εμπρός από τη στέψη της όψης θα πρέπει να λαμβάνεται μέριμνα για την ύπαρξη αρμού με τα πετάσματα πλάτους 0,05 m (σχήμα 10-16).
Κάτω από τη δοκό έδρασης, για το σκοπό της καλύτερης διανομής των φορτίων, θα πρέπει να κατασκευάζεται στρώση πάχους 0,5 m από επιλεγμένο κοκκώδες υλικό (σχήμα 10-18). Στο πάχος της στρώσης αυτής θα πρέπει να περιλαμβάνεται και η πρώτη στρώση του οπλισμού. Το υλικό αυτό θα πρέπει να διαστρώνεται σε 2 φάσεις, να είναι καλά διαβαθμισμένο και να μην περιέχει κλάσμα διερχόμενο από το κόσκινο No 200 μεγαλύτερο από 5%.
Τα νερά που προέρχονται από τον φορέα δεν θα πρέπει να αποστραγγίζονται μέσα στη μάζα της οπλισμένης επίχωσης του ακροβάθρου, αλλά να συγκεντρώνονται πάνω στη δοκό έδρασης και να απομακρύνονται κατάλληλα.
8. Απώλειες του χάλυβα του οπλισμού από διάβρωση

Σχήμα 10-16.

Σχήμα 10-17.
Ο χάλυβας μέσα στο έδαφος υφίσταται διάβρωση της οποίας η έκταση είναι συνάρτηση του χρόνου, του περιβάλλοντος και της προστασίας στην οποία έχει υποβληθεί. Ο υπολογισμός των κατασκευών από οπλισμένη επίχωση πρέπει να γίνεται με βάση ένα πάχος υπολογισμού eC προκειμένου για ελάσματα (ταινίες, strips) ή διαμέτρου υπολογισμού dc για κυκλικές ράβδους που ορίζεται από τις παρακάτω σχέσεις:
eC = e0 - eS για ελάσματα
dc = d0 - dS για κυκλικές ράβδους
όπου:
e0 το συνολικό πάχος
eS η απώλεια λόγω διαβρώσεων
d0 η συνολική διάμετρος και
dS η απώλεια λόγω διαβρώσεων
Το θυσιαζόμενο πάχος χάλυβα eS ή dS συνδέεται με τη γενική ταξινόμηση των κατασκευών (που έγινε με βάση την επιθετικότητα του περιβάλλοντος) και η τιμή του δίνεται σαν συνάρτηση του χρόνου ζωής των κατασκευών (κατηγορίες Ι, ΙΙ, ΙΙΙ, ΙV) και του υλικού που αποτελεί τον οπλισμό.
Για χάλυβες προστατευμένους με επιψευδαργύρωση, το ελάχιστο πάχος (ή ισοδύναμο βάρος σε gr/m2) θα καθορίζεται από την προδιαγραφή του συστήματος οπλισμένης επίχωσης με την έγκρισή του και θα ελέγχεται με το βάρος της επιψευδαργύρωσης, βάσει πειράματος αποψευδαργύρωσης. Ανεξάρτητα από τα παραπάνω, η ελάχιστη απώλεια σε χιλιοστά πάχους θα λαμβάνεται από τους πίνακες που ακολουθούν:
Πίνακας 5Α-10: Απώλεια πάχους από διάβρωση για επιψευδαργυρωμένο χάλυβα (mm)
Κατηγορία έργου
|
I
|
II
|
III
|
IV
|
A
|
0.0
|
0.5
|
1.0
|
1.5
|
B
|
0.0
|
1.0
|
1.5
|
2.0
|
Γ
|
0.0
|
Θα πρέπει να προσδιορισθεί με ειδική μελέτη
|
Δ
|
Θα πρέπει να προσδιορισθεί κατά περίπτωση με ειδική μελέτη
|
Πίνακας 5Β-10: Απώλεια πάχους από διάβρωση για χάλυβα χωρίς προστασία (mm)
Κατηγορία έργου
|
I
|
II
|
III
|
IV
|
A
|
0.5
|
1.5
|
3.0
|
4.0
|
B
|
0.5
|
2.0
|
4.0
|
5.0
|
Γ
|
1.0
|
3.0
|
5.0
|
7.0
|
Δ
|
Θα πρέπει να προσδιορισθεί κατά περίπτωση με ειδική μελέτη
|
9. Προστασία από το νερό
Σε όλες τις περιπτώσεις η περιοχή του έργου, οι υδραυλικές συνθήκες που επικρατούν στο έργο και στη γειτονιά του θα πρέπει να ελέγχονται για τους ακόλουθους λόγους:
Ο κορεσμός του υλικού του επιχώματος οδηγεί σε μια αύξηση των δυνάμεων εφελκυσμού στους οπλισμούς και, αν το έδαφος περιέχει πολύ λεπτόκοκκο υλικό, σε μείωση της τριβής μεταξύ εδάφους - οπλισμού. Αυτές οι επιπτώσεις, για κατασκευές έξω από το νερό δεν λαμβάνονται γενικώς υπόψη στο σχεδιασμό των κατασκευών από οπλισμένη επίχωση.
Είσοδος νερών που περιέχουν σε διάλυση άλατα επιθετικά όσον αφορά τη διάρκεια ζωής των οπλισμών (όπως π.χ. αλάτι που χρησιμοποιείται για το λιώσιμο του χιονιού).
Για τους λόγους αυτούς πρέπει να λαμβάνονται κατάλληλα μέτρα προστασίας όπως:
(1) Προκειμένου για τοίχους ποδός θα πρέπει η επιφάνεια του επιχώματος πάνω από τον τοίχο να διαμορφώνεται με κλίση τουλάχιστον 5% προς την όψη του τοίχου και να φυτεύεται με ένα πάχος φυτικών γαιών 0,40 m περίπου. Στην περίπτωση που δεν γίνεται επαρκής συντήρηση του έργου ή τα νερά είναι πολλά, θα πρέπει να διαμορφώνεται αποστραγγιστική τάφρος στη στέψη του οπλισμένου τμήματος του τοίχου, πίσω από την όψη.
(2) Προκειμένου για τοίχους στέψης που αντιστηρίζουν οδούς, θα πρέπει να προστατεύονται οι οπλισμοί από την είσοδο νερών που περιέχουν διαβρωτικά άλατα. Για το λόγο αυτό, κάτω από την υπόβαση του οδοστρώματος θα πρέπει να τοποθετείται ελεύθερα αποστραγγιζόμενο κοκκώδες υλικό που θα διαχωρίζεται από το υλικό του επιχώματος του οπλισμένου τμήματος του τοίχου με μία αδιαπέρατη μεμβράνη (σχήμα 10-18). Η μεμβράνη αυτή θα πρέπει να έχει κλίση προς το εσωτερικό του οπλισμένου τμήματος τουλάχιστον 5% ώστε το νερό να οδηγείται σε αποστραγγιστική τάφρο ή σωλήνα έξω από το οπλισμένο τμήμα του τοίχου. Αυτή η μεμβράνη να διαθέτει επαρκή αντοχή σε διάτρηση και δεν επιτρέπεται να τρυπηθεί ακόμη και από στύλους στηθαίων ασφάλειας. Στην περίπτωση που η κατασκευή του δρόμου και των ερεισμάτων του είναι τέτοια που δεν επιτρέπει την είσοδο του νερού στο οπλισμένο επίχωμα, αυτή η μεμβράνη μπορεί να παραλείπεται.
(3) Προκειμένου για τοίχους που κατασκευάζονται σε ορύγματα από υλικό που παρουσιάζει μικρή διαπερατότητα είναι απαραίτητο να προβλέπεται πίσω και κάτω από το οπλισμένο τμήμα τοποθέτηση ελεύθερα στραγγιζόμενου κοκκώδους υλικού (σχήμα 10-19) για την απομάκρυνση των διηθούμενων νερών. Η αποστραγγιστική στρώση κάτω από το οπλισμένο τμήμα θα παραλείπεται στην περίπτωση που το έδαφος θεμελίωσης είναι πολύ διαπερατό (όπως για παράδειγμα αποσαθρωμένοι βράχοι). Στην περίπτωση αυτή θα πρέπει να απομακρύνεται το νερό που συλλέγεται πίσω από τον τοίχο με κατάλληλη αποστραγγιστική διάταξη.

Σχήμα 10-18.
(4) Τέλος σε περιπτώσεις κατασκευών μέσα στο νερό (τοίχοι σε όχθες ποταμών, κρηπιδότοιχοι) θα πρέπει να προβλέπονται κατάλληλες διατάξεις στραγγιστηρίων, καθώς και εσωτερική κάλυψη των κατακόρυφων αρμών των πετασμάτων, π.χ. με γεωύφασμα, για την αποφυγή του ξεπλύματος των λεπτόκοκκων υλικών. Για μεγάλες και απότομες μεταβολές της στάθμης των νερών εξωτερικά θα λαμβάνονται υπόψη, σε σχέση με τη διαπερατότητα του υλικού του επιχώματος, η αύξηση της επιβαλλόμενης δύναμης στον οπλισμό καθώς και η μείωση του φαινομένου συντελεστού τριβής.
10. Οπλισμοί

Σχήμα 10-19.
Το υλικό των οπλισμών καθορίζεται από την άδεια του συστήματος βάσει των προδιαγραφών αυτού που θα εγκριθούν αρμοδίως, με τις οποίες θα γίνεται και ο εργαστηριακός έλεγχος των οπλισμών.
11. Προκατασκευασμένα στοιχεία από σκυρόδεμα
(πετάσματα, γωνιακά στοιχεία, πλάκες επικάλυψης και επιστεγάσματα τοίχων)
11.1. Γενικά
Τα προκατασκευασμένα στοιχεία (πετάσματα, πλάκες) θα κατασκευάζονται από σκυρόδεμα με χαρακτηριστική αντοχή fCK τουλάχιστον ίση με 25 ΜΡα (Β 25) και θα ελέγχεται σύμφωνα με τον εκάστοτε ισχύοντα Κανονισμό Τεχνολογίας Σκυροδέματος.
Τα πετάσματα θα χυτεύονται σε οριζόντιες επιφάνειες, με την τελικώς ορατή επιφάνεια κάτω. Το σκυρόδεμα θα χυτεύεται χωρίς διακοπή και θα δονείται με δονητή της έγκρισης της Υπηρεσίας, ο οποίος θα πρέπει να έχει και κεφαλή χειρός έτσι ώστε να είναι δυνατή η δόνηση και στις γωνίες των σιδηροτύπων. Για τη λίπανσή τους απαιτείται καθαρό λάδι σιδηροτύπων, το οποίο θα χρησιμοποιείται σε όλη την παραγωγή των πετασμάτων και θα είναι του ιδίου τύπου και κατασκευαστού.
11.2. Ανοχές
Όλες οι διαστάσεις 3 mm. Διαγώνια διάσταση πετάσματος 5 mm στα 1.500 mm.
11.3. Χειρισμός
Ο χειρισμός των στοιχείων, η αποθήκευση και η μεταφορά τους θα είναι τέτοια ώστε να μη γίνουν σπασίματα ή ζημιές από ψαλιδισμό, κάμψη κ.λ.π. Τα πετάσματα θα αποθηκεύονται πάνω σε στηρίγματα για να αποφεύγονται ζημιές στα εξέχοντα εξαρτήματα (αγκύρια κ.λ.π.). Τα στηρίγματα θα είναι τέτοια ώστε να μην προκαλούν σημάδια ή ζημιές στην όψη του πετάσματος. Τα πετάσματα θα σημειώνονται καθαρά στο πίσω τους τμήμα για τον τύπο τους και τον προορισμό τους. Η ανέγερση των πετασμάτων θα γίνεται μετά από τουλάχιστον 14 ημέρες από την ημέρα παραγωγής τους.
12. Σύνδεσμοι οπλισμού - πετάσματος
Αυτοί θα είναι από χάλυβα εν θερμώ γαλβανισμένοι σύμφωνα με τις προδιαγραφές του εγκεκριμένου συστήματος και με αντοχή κατάλληλη για την παραλαβή των φορτίων.
Η αντοχή αυτή θα πρέπει να είναι μεγαλύτερη της δύναμης διαρροής του οπλισμού και αν αυτό δεν μπορεί να εξασφαλιστεί τότε αρκεί να είναι τουλάχιστον διπλάσια της αντοχής εξόλκευσης του οπλισμού.
13. Αρμοί
Τα υλικά αρμών (π.χ. ειδικός αφρός στεγάνωσης αρμών, γεωύφασμα, (φίλτρο αρμών κ.λ.π.)) θα είναι όπως φαίνονται στα σχέδια με αντοχή κατάλληλη για τη χρήση τους.
14. Υλικό επιχώματος πλήρωσης
14.1. Τα υλικά επιχώματος μπορούν να είναι είτε φυσικά υλικά είτε προέλευσης λατομείου. Δεν επιτρέπεται να περιέχουν φυτικά, υλικά που αποσυντίθενται, σκουπίδια ή άλλο βλαβερό υλικό.
14.2. Το επίχωμα θα πρέπει να πληροί τα γεωτεχνικά και χημικά / ηλεκτροχημικά κριτήρια που περιγράφονται κατωτέρω.
14.3. Υλικά επιχώματος που πρόκειται να χρησιμοποιηθούν και είναι βιομηχανικής προέλευσης ή από τη θάλασσα, ή γενικότερα αμφίβολης συμπεριφοράς, πρέπει να γνωστοποιούνται στην Υπηρεσία και να εξετάζονται εργαστηριακά. Η χρήση τέτοιων υλικών μπορεί να γίνει μόνο με τη σύμφωνη γνώμη της Υπηρεσίας, και μετά από ειδική μελέτη με πρόσθετες απαιτήσεις.
14.4. Γεωτεχνικά κριτήρια
14.4.1 Το υλικό του επιχώματος θα συμφωνεί με την ακόλουθη διαβάθμιση, που θα προσδιορίζεται σύμφωνα με τις προδιαγραφές εργαστηριακών δοκιμών Ε 105-1986 (αριθμοί 7 και 8) του Υπουργείου Περιβάλλοντος, Χωροταξίας και Δημοσίων Έργων και να έχει συντελεστή ομοιομορφίας μεγαλύτερο ή ίσο με 2.
Πίνακας 6-10: Διαβάθμιση υλικού επιχώματος πλήρωσης
Διάμετρος κόσκινου
|
% Διερχόμενο
|
250 mm
|
100
|
75 mm
|
όχι λιγότερο από 75
|
10 mm
|
όχι λιγότερο από 10
|
75 μm
|
0 - 15
|
Αν το υλικό επιχώματος περιέχει περισσότερο από 15% διερχόμενο από το κόσκινο των 75 μm, το υλικό μπορεί να είναι ακόμη αποδεκτό πράγμα που εξαρτάται από τα αποτελέσματα δοκιμών κοκκομετρικής ανάλυσης με αραιόμετρο και άμεσης διάτμησης (προδιαγραφές εργαστηριακών δοκιμών Εδαφομηχανικής, Ε 105-1986, υπ' αριθμούς 9 και 16 αντίστοιχα).
Για το σκοπό αυτό θα εξετάζεται το ποσοστό του υλικού του λεπτότερου από 15 μm και
| • | αν αυτό είναι περισσότερο από 20%, το υλικό είναι ακατάλληλο |
| • | αν είναι λιγότερο από 10%, το υλικό είναι κατάλληλο |
| • | αν είναι μεταξύ 10% και 20%, τότε βρίσκεται η γωνία εσωτερικής τριβής από δοκιμές ταχείας άμεσης διάτμησης επί στερεοποιημένου δοκιμίου και αν αυτή είναι: |
| • | μεγαλύτερη ή ίση από 25° για χάλυβες με νευρώσεις, ή 22° για τους λείους χάλυβες το υλικό είναι κατάλληλο |
| • | μικρότερη από 25° για χάλυβες με νευρώσεις ή 22° για τους λείους χάλυβες, το υλικό είναι ακατάλληλο |
14.4.2. Το επίχωμα δεν θα περιλαμβάνει υλικά τα οποία χάνουν τα χαρακτηριστικά τριβής τους, υλικά ευαίσθητα στο νερό ή ακατάλληλα υλικά όπως:
| • | Τύρφη φυτικές γαίες και υλικά που φθείρονται |
| • | Υλικά που αυταναφλέγονται |
| • | Υλικά σε παγωμένη κατάσταση |
| • | Υλικά με περιεχόμενη υγρασία μεγαλύτερη από αυτή που επιτρέπεται για τα συγκεκριμένα υλικά, όπως αυτή μπορεί να καθορίζεται από την Υπηρεσία |
14.4.3. Το υλικό επίχωσης θα είναι συμβατό με το πάχος των στρώσεων που πρόκειται να συμπυκνωθούν και θα έχει επιπλέον την ιδιότητα να συμπυκνώνεται επαρκώς, σύμφωνα με τις απαιτήσεις που τίθενται, χρησιμοποιώντας τα συνηθισμένα εργοταξιακά μηχανήματα. Η επίχωση δεν θα πρέπει να περιλαμβάνει στοιχεία (κόκκους) διαμέτρου μεγαλύτερης των 250 mm.
14.5. Χημικά και ηλεκτροχημικά κριτήρια
14.5.1. Η δραστικότητα (ενεργότητα, activity) των ιόντων υδρογόνου ή pH
Η τιμή του pH που θα μετρηθεί στο επίχωμα, σύμφωνα με τις μεθόδους που περιγράφονται στο BS1377:1975 σε νερό που λαμβάνεται από μείγμα νερού - εδάφους (1 μέρος άνυδρου δείγματος με 1 μέρος απεσταγμένου ή απιονισμένου ύδατος το οποίο θα έχει ηλεκτρική αντίσταση μεγαλύτερη από 200 ΚΩ cm), θα πρέπει να βρίσκεται στα όρια μεταξύ 5 και 10.
14.5.2 Ηλεκτρική αντίσταση
14.5.2.1 Γενικά
Η ηλεκτρική αντίσταση ενός συμπυκνωμένου και κορεσμένου δείγματος δεν θα πρέπει να είναι μικρότερη από 1000 Ω cm για έργα κατηγορίας Α και 3000 Ω cm για έργα κατηγορίας Β. Η δοκιμή αυτή πρέπει να γίνεται σύμφωνα με τη διαδικασία που συνίσταται στην παράγραφο 1.3 των Γαλλικών Κανονισμών για κατασκευές από οπλισμένη γη (1979). Για υλικό επιχώματος με ηλεκτρική αντίσταση μεταξύ 1000 και 5000 Ω cm θα πρέπει να μετράται το περιεχόμενο σε διαλυτά άλατα (θειικά και χλωριούχα). Στην περίπτωση αυτή οι δοκιμές θα πρέπει να γίνονται όπως περιγράφονται στην επόμενη παράγραφο.
14.5.2.2. Περιεχόμενο διαλυτών αλάτων (θειικών και χλωριούχων) - πρόσθετες απαιτήσεις δοκιμών για υλικά επιχώματος τα οποία έχουν ηλεκτρική αντίσταση μεταξύ των τιμών 1000 και 5000 Ω cm.
Για το σκοπό του προσδιορισμού της συγκέντρωσης των διαλυτών αλάτων θα πρέπει να λαμβάνεται ένα αντιπροσωπευτικό δείγμα υλικού. Το μείγμα νερού - εδάφους που θα εξαχθεί γι' αυτή τη δοκιμή θα προκύπτει όπως παρακάτω (αυτό το νερό μπορεί να χρησιμοποιηθεί και για τη μέτρηση του pH).
Το δείγμα θα πρέπει να ξηραίνεται σε κλίβανο με θερμοκρασία μεταξύ 75 °C και 80 °C. Ο κλίβανος που θα χρησιμοποιηθεί θα πρέπει να διαθέτει θερμοστάτη και να μπορεί να διατηρεί τη θερμοκρασία στα ανωτέρω όρια (οι κοινοί κλίβανοι ξήρανσης συνήθως το επιτυγχάνουν). Το δείγμα θα θεωρείται ξηρό όταν η διαφορά μεταξύ διαδοχικών ζυγίσεων του βάρους του σε διαστήματα 4 ωρών είναι μικρότερη από 0.1% του αρχικού του βάρους. Μια ολονύκτια ξήρανση είναι συνήθως αρκετή. Το ξηρό δείγμα θα κοσκινίζεται ώστε να απομακρύνονται οι κόκκοι οι μεγαλύτεροι από 10 mm.
Στη συνέχεια ζυγίζονται με ακρίβεια 0.01 gr περίπου 500 gr ξηρού δείγματος και τοποθετούνται σε πλαστική φιάλη του 1 λίτρου, με φαρδύ στόμιο και βιδωτό πώμα. Σ' αυτήν προστίθενται 500 ml απεσταγμένου νερού και το δείγμα αναταράσσεται. Τα απαιτούμενα μέρη νερού - εδάφους λαμβάνονται και προετοιμάζονται σύμφωνα με συγκεκριμένες απαιτήσεις ώστε να γίνουν οι ακόλουθοι προσδιορισμοί:
(1) Προσδιορισμός χλωριούχων (Cl-)
Ο προσδιορισμός των χλωριούχων απαιτείται για τα φυτικά υλικά του επιχώματος των οποίων η ηλεκτρική αντίσταση είναι μεταξύ 1000 και 5000 Ω cm.
Η συγκέντρωση των χλωριούχων θα προσδιορίζεται με βάση το BS812: 1976, Μέρος 4, σε μείγμα νερού - εδάφους που λήφθηκε όπως αναφέρθηκε προηγουμένως. Ο μέσος όρος των τιμών που θα προσδιορισθούν από τρία μείγματα νερού - εδάφους θα αναφέρεται με ακρίβεια 10 mg/kg (0.001%).
Το περιεχόμενο σε χλωριούχα θα πρέπει να είναι μικρότερο από 200 mg/kg (0.02%) για κατασκευές κατηγορίας Α, ή 100 mg/kg (0.01%) σε κατασκευές κατηγορίας Β.
(2) Προσδιορισμός θεϊκών (SO4- -)
(3) Ο προσδιορισμός των θειικών απαιτείται για υλικά φυσικού εδάφους των οποίων η ηλεκτρική αντίσταση είναι μεταξύ 1000 και 5000 Ω cm.
Το μείγμα νερού - εδάφους που λήφθηκε όπως περιγράφηκε ανωτέρω θα προετοιμάζεται σύμφωνα με το ΒS1377:1975, Δοκιμή 10, και η συγκέντρωση των θειικών (SΟ4--) θα προσδιορίζεται κατά βάρος με βάση το ΒS1377:1975, Δοκιμή 9, παράγραφος 3.2.4.3. Η δοκιμή αυτή προσδιορίζει το ποσοστό του θειικού σαν SΟ3--.
Το περιεχόμενο σε θειικά (SΟ4--) δεν θα πρέπει να είναι μεγαλύτερο από 1000 mg/kg (0.1%) σε κατασκευές κατηγορίας Α ή 500 mg/kg (0.05%) σε κατασκευές κατηγορίας Β. Για αποτελέσματα που δίνονται σε θειώδες (SΟ3--) το περιεχόμενο δεν μπορεί να είναι περισσότερο από 833 mg/kg (0.083%) ή 416 mg/kg για αντίστοιχες κατηγορίες κατασκευών όπως ανωτέρω. Αποτελέσματα σε SΟ3-- μπορούν να μετατρέπονται σε SΟ4-- διαιρώντας με τον συντελεστή 0.833. Στον παρακάτω πίνακα συνοψίζονται τα περιγραφέντα χημικά και ηλεκτροχημικά κριτήρια που αναφέρονται σε συνήθη επιχώματα πλήρωσης.
Πίνακας 7-10: Ηλεκτροχημικά και χημικά κριτήρια επιχώματος πλήρωσης
Κατηγορία έργου
|
Ηλεκτρική αντίσταση
|
pH
|
Cl-
|
SO4--
|
A
|
> 1000 Ω cm
|
5 to 10
|
< 200 ppm
|
< 1000 ppm
|
B
|
> 3000 Ω cm
|
5 to 10
|
< 100 ppm
|
< 500 ppm
|
15. Επίχωση και συμπύκνωση
Το υλικό του επιχώματος πλήρωσης θα πρέπει να αποτίθεται, διαστρώνεται και συμπυκνώνεται σε οριζόντιες στρώσεις πάχους ανάλογου με τον χρησιμοποιούμενο εξοπλισμό και σύμφωνα με τις απαιτήσεις της Πρότυπης Τεχνικής Προδιαγραφής Χ1 τις υποδείξεις της επιβλέπουσας Υπηρεσίας και επιπλέον:
(1) Η απόθεση και συμπύκνωση του υλικού θα πρέπει να γίνεται έτσι ώστε όλες οι στρώσεις των οπλισμών να τοποθετούνται στις απαιτούμενες στάθμες και πάνω από ήδη συμπυκνωμένο επίχωμα.
(2) Όλες οι εργασίες του επιχώματος (απόθεση, διάστρωση, οριζοντίωση και συμπύκνωση) θα εκτελούνται γενικά με διεύθυνση παράλληλη προς την όψη και θα πραγματοποιούνται σταδιακά σε εναλλασσόμενες φάσεις με την τοποθέτηση και αγκύρωση οπλισμών και πετασμάτων.
(3) Θα δίδεται ιδιαίτερη προσοχή στη διασφάλιση των οπλισμών και των πετασμάτων από ζημιές ή παραμορφώσεις κατά τη διάρκεια των εργασιών απόθεσης, διάστρωσης, οριζοντίωσης και συμπύκνωσης του επιχώματος. Το πρόγραμμα των εργασιών κατασκευής του επιχώματος θα πρέπει γενικά να είναι τέτοιο ώστε να μην περνούν οχήματα και μηχανήματα πάνω από τους οπλισμούς.
(4) Όλα τα οχήματα και μηχανήματα που ζυγίζουν περισσότερο από 1500 kg θα πρέπει να κρατούνται τουλάχιστον 1,5 m μακριά από την όψη.
(5) Το επίχωμα μέσα σε αυτό το 1,5 m θα συμπυκνώνεται με τη χρήση ενός από τα ακόλουθα μηχανήματα:
1. Δονητικού αναπηδώντος συμπυκνωτή (βάτραχος, vibro tamper).
2. Δονητικής πλάκας συμπύκνωσης με μάζα μικρότερη από 1000 kg.
3. Δονητικού κυλίνδρου με βάρος ανά μέτρο πλάτους μικρότερο από 1300 kg και συνολικό βάρος μικρότερο από 1500 kg.